一、阻抗基礎概念
在包含電阻、電感及電容的電路中,對電流起阻礙作用的物理量稱為阻抗,用 Z 表示,本質為復數形式。其中,實部稱為電阻,虛部叫作電抗。具體而言,電容對交流電的阻礙作用為容抗,電感對交流電的阻礙作用為感抗,電容與電感引起的交流電阻礙統稱為電抗,阻抗單位是歐姆。
二、交流電路中電阻、電感、電容并聯的阻抗計算
在交流電路里,電阻、電感和電容并聯時,總阻抗并非簡單的算術加和,需借助復數形式計算得出。
(一)電阻和電容并聯情況
其阻抗計算公式為:
Z = 1/√[(1/R)² + (1/XL - 1/XC)²]
在此公式里:
R 代表電阻值。
XL 表示電感的感抗,計算公式是 XL = 2πfL,其中 f 是交流電頻率,L 表示電感值。
XC 是電容的容抗,計算方式為 XC = 1/(2πfC),C 為電容值。
電容的容抗與頻率呈反比關系,頻率上升時,容抗隨之減小。當頻率極高時,容抗小到可以忽略,此時電容在電路中的作用近似于短路狀態。
(二)電阻、電感和電容串聯情況


電感和電容的容抗均與頻率相關。隨著頻率增加,感抗增大,容抗減小。當頻率極高時,感抗大到可忽略其他因素,此時電感在電路中近乎短路;而當頻率極低時,容抗較大,可忽略電容的導通作用,此時電容在電路中近乎開路。
(三)串聯與并聯計算公式總結
感抗 XL = ωL = 2πfL。
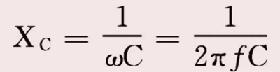
容抗 XC = 1/(ωC) = 1/(2πfC)。


公式中的 f 指頻率,單位為赫茲(Hz)。
〈烜芯微/XXW〉專業制造二極管,三極管,MOS管,橋堆等,20年,工廠直銷省20%,上萬家電路電器生產企業選用,專業的工程師幫您穩定好每一批產品,如果您有遇到什么需要幫助解決的,可以直接聯系下方的聯系號碼或加QQ/微信,由我們的銷售經理給您精準的報價以及產品介紹
〈烜芯微/XXW〉專業制造二極管,三極管,MOS管,橋堆等,20年,工廠直銷省20%,上萬家電路電器生產企業選用,專業的工程師幫您穩定好每一批產品,如果您有遇到什么需要幫助解決的,可以直接聯系下方的聯系號碼或加QQ/微信,由我們的銷售經理給您精準的報價以及產品介紹
聯系號碼:18923864027(同微信)
QQ:709211280