過驅動電壓Veff/Vod定義
Veff=VGS-VTH,表示過驅動電壓。
表示的是柵源電壓-閾值電壓。其實是一個變值,會隨VGS電壓變化而變化,也會受VTH的影響(體效應),其實是我們設計過程中可能會經常出現的一個名詞,經常會設計一個比較固定的過驅動電壓。
另外,過驅動電壓也可以表示稱為Vod,直觀的表示就是over drive voltage。
下面通過對過驅動電壓Vod的變化情況,來看下NMOS的工作區:
1、VGS>VTH,且VDS<Veff:
MOS管工作在線性區(三極管區),此時的電流是:


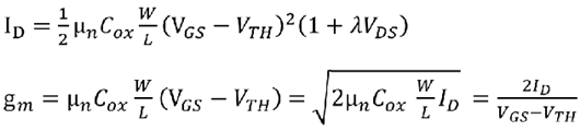
2、VGS>VTH,且VDS>Veff ( VDS>VGS-VTH ----> VGD<VTH ):
MOS管工作在飽和區,此時的電流是:


如果考慮溝道長度調制效應的話是:


注意:ID描述的電流方向是從D端流向MOS管的。
下面是PMOS的工作區描述:
1、|VGS|>|VTH|,且|VDS|<|Veff|:
PMOS工作在線性區(三極管區),此時的電流是:


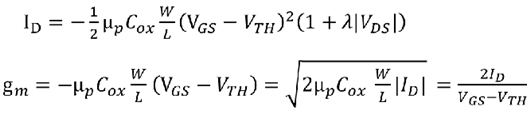
2、|VGS|>|VTH|,且|VDS|>|Veff|:
PMOS工作在飽和區,此時的電流是:


如果考慮溝道長度調制的話是:

〈烜芯微/XXW〉專業制造二極管,三極管,MOS管,橋堆等,20年,工廠直銷省20%,上萬家電路電器生產企業選用,專業的工程師幫您穩定好每一批產品,如果您有遇到什么需要幫助解決的,可以直接聯系下方的聯系號碼或加QQ/微信,由我們的銷售經理給您精準的報價以及產品介紹

〈烜芯微/XXW〉專業制造二極管,三極管,MOS管,橋堆等,20年,工廠直銷省20%,上萬家電路電器生產企業選用,專業的工程師幫您穩定好每一批產品,如果您有遇到什么需要幫助解決的,可以直接聯系下方的聯系號碼或加QQ/微信,由我們的銷售經理給您精準的報價以及產品介紹
聯系號碼:18923864027(同微信)
QQ:709211280