一、電路組成
電路如圖(a)所示,集電極作為共公端,由于輸出電壓從發射極獲得,故也稱共集放大電路為射極輸出器。其直流通路和交流通路如圖(b)和(c)所示。


二、靜態分析
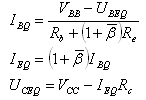
如圖(b)所示為直流通路,列出輸入回路的方程


便得到基極靜態電流IBQ、發射極靜態電流IEQ和管壓降UCEQ

烜芯微專業制造二極管,三極管,MOS管,橋堆等,20年,工廠直銷省20%,1500家電路電器生產企業選用,專業的工程師幫您穩定好每一批產品,如果您有遇到什么需要幫助解決的,可以直接聯系上方的聯系號碼或加QQ,由我們的銷售經理給您精準的報價以及產品介紹

烜芯微專業制造二極管,三極管,MOS管,橋堆等,20年,工廠直銷省20%,1500家電路電器生產企業選用,專業的工程師幫您穩定好每一批產品,如果您有遇到什么需要幫助解決的,可以直接聯系上方的聯系號碼或加QQ,由我們的銷售經理給您精準的報價以及產品介紹