穩壓二極管也稱為齊納二極管(zener diode)
1.穩壓二極管特性
對于普通二極管而言,正向導通、反向截止,反向電壓過高會擊穿損壞。而穩壓二極管是一種特殊工藝制造的面結型半導體二極管,它的正向特性與普通二極管相同,反向特性卻比較特殊,它最大的特點就是可以穩定地工作在反向擊穿狀態而不會損壞,并且在反向擊穿狀態下電流變化很大的范圍內,電壓基本保持恒定。穩壓管在電路中主要起到穩壓和提供基準電壓的作用。


穩壓管伏安特性曲線
注:穩壓管工作在圖中A-B區間,這條線越陡,穩壓管的性能越好。IZ(min)和IZ(max)是穩壓管工作在正常穩壓狀態時的最小和最大工作電流,反向電流小于IZ(min)時,穩壓管處于反向截止狀態,穩壓特性消失;反向電流大于IZ(max)時,穩壓管可能會被燒毀。
2.穩壓二極管主要參數


示例:1SMA5929穩壓管
①VZ— 穩定電壓
VZ是穩壓二極管在反向擊穿區時的工作電壓,是穩壓管重要的參數,這個數值隨工作電流和溫度的不同略有改變。示例中:1SMA5929標稱穩壓值為15V,實際穩壓范圍在14.25V~15.75V之間。
②PZM— 最大耗散功率


1SMA5932規格書片段
穩壓二極管正常工作時能承受的最大功率,規格書中直接查閱,示例:1SMA5929的最大耗散功率為1.5W。而穩壓管的額定功率損耗為:Pz=Vz*Iz。
③IZT— 穩定工作電流
指穩壓管產生穩定電壓時通過該管的電流值,工作在這個電流值對應的穩壓性能最好(上限不能超出最大穩定工作電流,下限不能低于最小穩定工作電流)。示例:1SMA5929的穩定工作電流為25mA。
④RZ—動態電阻
RZ=△VZ/△IZ,反向擊穿時電壓變化與電流變化的比值,動態電阻越小,穩壓效果越好。
3.穩壓管限流電阻的計算
首先我們要明白,穩壓二極管為什么要加限流電阻,作用有二:
①穩壓二極管工作在反向擊穿區時,內阻很小,如果不加限流電阻,輸入電壓沒有超過標稱穩壓值穩壓管截止則不會有問題,但輸入電壓超出標稱穩壓值后,流經穩壓管的電流急劇增大,穩壓管實際消耗功率急劇增大,很快超出穩壓管最大耗散功率,從而損壞穩壓管。
②限流電阻在保護穩壓管的同時,也會給穩壓管提供一個穩定的工作電流,使穩壓管處于我們需要的這個穩壓的狀態。


限流電阻計算圖例
穩壓過程分析:輸入電壓VS升高,會導致輸出電壓VO升高,穩壓管與負載并聯,所以穩壓管兩端電壓相應升高,根據穩壓管反向擊穿特性,微弱的電壓變化會導致電流IZ變化很大,IZ增大,IS也會增大,限流電阻RS兩端的壓降會增大,從而抵消了VS的變化,使得VO保持穩定,反之亦然。


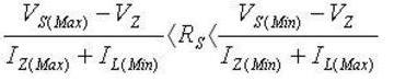
限流電阻計算公式
注:穩壓二極管可以串聯使用(兩個15V穩壓管串聯做30V穩壓管使用)。
使用穩壓管進行穩壓,適用于后級負載功率較小且精度要求不高的場合。
4.穩壓二極管電路應用


串聯穩壓電路,輸入在25V上下波動,輸出穩定在15V
烜芯微專業制造二極管,三極管,MOS管,橋堆等20年,工廠直銷省20%,4000家電路電器生產企業選用,專業的工程師幫您穩定好每一批產品,如果您有遇到什么需要幫助解決的,可以點擊右邊的工程師,或者點擊銷售經理給您精準的報價以及產品介紹
烜芯微專業制造二極管,三極管,MOS管,橋堆等20年,工廠直銷省20%,4000家電路電器生產企業選用,專業的工程師幫您穩定好每一批產品,如果您有遇到什么需要幫助解決的,可以點擊右邊的工程師,或者點擊銷售經理給您精準的報價以及產品介紹