功率MOSFET概述
功率MOS場效應晶體管,即MOSFET,其原意是:MOS(Metal Oxide Semiconductor金屬氧化物半導體),FET(Field Effect Transistor場效應晶體管),即以金屬層(M)的柵極隔著氧化層(O)利用電場的效應來控制半導體(S)的場效應晶體管。
功率MOSFET分析
(一)功率MOSFET的正向導通等效電路
(1)等效電路

(2)說明:
功率 MOSFET 正向導通時可用一電阻等效,該電阻與溫度有關,溫度升高,該電阻變大;它還與門極驅動電壓的大小有關,驅動電壓升高,該電阻變小。詳細的關系曲線可從制造商的手冊中獲得。
(二)功率MOSFET的反向導通等效電路(1)
(1)等效電路(門極不加控制)

(2)說明:
即內部二極管的等效電路,可用一電壓降等效,此二極管為MOSFET 的體二極管,多數情況下,因其特性很差,要避免使用。
(三)功率MOSFET的反向導通等效電路(2)
(1)等效電路(門極加控制)

(2)說明:
功率 MOSFET 在門級控制下的反向導通,也可用一電阻等效,該電阻與溫度有關,溫度升高,該電阻變大;它還與門極驅動電壓的大小有關,驅動電壓升高,該電阻變小。詳細的關系曲線可從制造商的手冊中獲得。此工作狀態稱為MOSFET 的同步整流工作,是低壓大電流輸出開關電源中非常重要的一種工作狀態。
(四)功率MOSFET的正向截止等效電路
(1)等效電路

(2)說明:
功率 MOSFET 正向截止時可用一電容等效,其容量與所加的正向電壓、環境溫度等有關,大小可從制造商的手冊中獲得。
(五)功率MOSFET的穩態特性總結
(1)功率MOSFET 穩態時的電流/電壓曲線

(2)說明:
功率 MOSFET 正向飽和導通時的穩態工作點:

當門極不加控制時,其反向導通的穩態工作點同二極管。
(3)穩態特性總結:
1、門極與源極間的電壓Vgs 控制器件的導通狀態;當VgsVth時,器件處于導通狀態;器件的通態電阻與Vgs有關,Vgs大,通態電阻小;多數器件的Vgs為 12V-15V ,額定值為+-30V;
2、器件的漏極電流額定是用它的有效值或平均值來標稱的;只要實際的漏極電流有效值沒有超過其額定值,保證散熱沒問題,則器件就是安全的;
3、器件的通態電阻呈正溫度系數,故原理上很容易并聯擴容,但實際并聯時,還要考慮驅動的對稱性和動態均流問題;
4、目前的 Logic-Level的功率 MOSFET,其Vgs只要 5V,便可保證漏源通態電阻很小;
5、器件的同步整流工作狀態已變得愈來愈廣泛,原因是它的通態電阻非常小(目前最小的為2-4 毫歐),在低壓大電流輸出的DC/DC 中已是最關鍵的器件;
(六)包含寄生參數的功率MOSFET等效電路
(1)等效電路

(2)說明:
實際的功率MOSFET 可用三個結電容,三個溝道電阻,和一個內部二極管及一個理想MOSFET 來等效。三個結電容均與結電壓的大小有關,而門極的溝道電阻一般很小,漏極和源極的兩個溝道電阻之和即為MOSFET 飽和時的通態電阻。
(七)功率MOSFET的開通和關斷過程原理
(1)開通和關斷過程實驗電路

(2)MOSFET 的電壓和電流波形:

(3)開關過程原理:
開通過程[t0 ~ t4]:
1、在 t0 前,MOSFET 工作于截止狀態,t0 時,MOSFET 被驅動開通;
2、[t0-t1]區間,MOSFET 的GS 電壓經Vgg 對Cgs充電而上升,在t1時刻,到達維持電壓Vth,MOSFET 開始導電;
3、[t1-t2]區間,MOSFET 的DS 電流增加,Millier 電容在該區間內因DS 電容的放電而放電,對GS 電容的充電影響不大;
4、[t2-t3]區間,至t2 時刻,MOSFET 的DS 電壓降至與Vgs 相同的電壓,Millier 電容大大增加,外部驅動電壓對Millier 電容進行充電,GS 電容的電壓不變,Millier 電容上電壓增加,而DS電容上的電壓繼續減小;
5、[t3-t4]區間,至t3 時刻,MOSFET 的DS 電壓降至飽和導通時的電壓,Millier 電容變小并和GS 電容一起由外部驅動電壓充電,GS 電容的電壓上升,至t4 時刻為止。此時GS 電容電壓已達穩態,DS 電壓也達最小,即穩定的通態壓降。
關斷過程[ t5 ~t9 ]:
1、在 t5 前,MOSFET 工作于導通狀態, t5 時,MOSFET 被驅動關斷;
2、[t5-t6]區間,MOSFET 的Cgs 電壓經驅動電路電阻放電而下降,在t6 時刻,MOSFET 的通態電阻微微上升,DS 電壓梢稍增加,但DS 電流不變;
3、[t6-t7]區間,在t6 時刻,MOSFET 的Millier 電容又變得很大,故GS 電容的電壓不變,放電電流流過Millier 電容,使DS 電壓繼續增加;
4、[t7-t8]區間,至t7 時刻,MOSFET 的DS 電壓升至與Vgs 相同的電壓,Millier 電容迅速減小,GS 電容開始繼續放電,此時DS 電容上的電壓迅速上升,DS 電流則迅速下降;
5、[t8-t9]區間,至t8 時刻,GS 電容已放電至Vth,MOSFET 完全關斷;該區間內GS 電容繼續放電直至零。
(八)因二極管反向恢復引起的MOSFET開關波形
(1)實驗電路

(2)因二極管反向恢復引起的MOSFET開關波形:

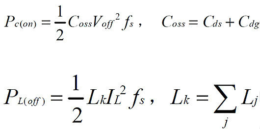
(九)功率MOSFET的功率損耗公式
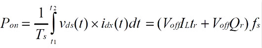
(1)導通損耗:

該公式對控制整流和同步整流均適用

該公式在體二極管導通時適用
(2)容性開通和感性關斷損耗:

為MOSFET 器件與二極管回路中的所有分布電感只和。一般也可將這個損耗看成器件的感性關斷損耗。
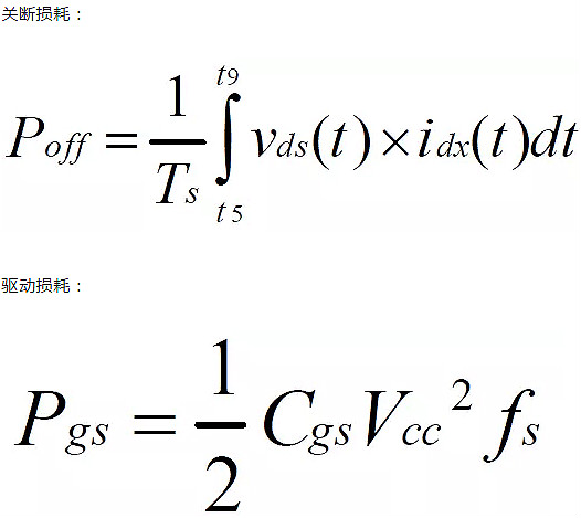
(3)開關損耗:
開通損耗:

考慮二極管反向恢復后:


(十)功率MOSFET的選擇原則與步驟
(1)選擇原則
(A)根據電源規格,合理選擇MOSFET 器件(見下表):
(B)選擇時,如工作電流較大,則在相同的器件額定參數下,
應盡可能選擇正向導通電阻小的 MOSFET;
應盡可能選擇結電容小的 MOSFET。

(2)選擇步驟
(A)根據電源規格,計算所選變換器中MOSFET 的穩態參數:
正向阻斷電壓最大值;
最大的正向電流有效值;
(B)從器件商的DATASHEET 中選擇合適的MOSFET,可多選一些以便實驗時比較;
(C)從所選的MOSFET 的其它參數,如正向通態電阻,結電容等等,估算其工作時的最大損耗,與其它元器件的損耗一起,估算變換器的效率;
(D)由實驗選擇最終的MOSFET器件。
(十一)開關器件的分類
(1)按制作材料分類:
1、(Si)功率器件;
2、(Ga)功率器件;
3、(GaAs)功率器件;
4、(SiC)功率器件;
5、(GaN)功率器件;
6、(Diamond)功率器件;
(2)按是否可控分類:
1、完全不控器件:如二極管器件;
2、可控制開通,但不能控制關斷:如普通可控硅器件;
3、全控開關器件
4、電壓型控制器件:如MOSFET,IGBT,IGT/COMFET ,SIT 等;
5、電流型控制期間:如GTR,GTO 等
(3)按工作頻率分類:
1、低頻功率器件:如可控硅,普通二極管等;
2、中頻功率器件:如GTR,IGBT,IGT/COMFET;
3、高頻功率器件:如MOSFET,快恢復二極管,蕭特基二極管,SIT等
(4)按額定可實現的最大容量分類:
1、小功率器件:如MOSFET
2、中功率器件:如IGBT
3、大功率器件:如GTO
(5):按導電載波的粒子分類:
1、多子器件:如MOSFET,蕭特基,SIT,JFET 等
2、少子器件:如IGBT,GTR,GTO,快恢復,等
烜芯微專業制造二極管,三極管,MOS管,橋堆等20年,工廠直銷省20%,1500家電路電器生產企業選用,專業的工程師幫您穩定好每一批產品,如果您有遇到什么需要幫助解決的,可以點擊右邊的工程師,或者點擊銷售經理給您精準的報價以及產品介紹
烜芯微專業制造二極管,三極管,MOS管,橋堆等20年,工廠直銷省20%,1500家電路電器生產企業選用,專業的工程師幫您穩定好每一批產品,如果您有遇到什么需要幫助解決的,可以點擊右邊的工程師,或者點擊銷售經理給您精準的報價以及產品介紹