溝道長度調制效應是MOS晶體管中柵下溝道預夾斷后、若繼續增大Vds,夾斷點會略向源極方向移動。導致夾斷點到源極之間的溝道長度略有減小,有效溝道電阻也就略有減小,從而使更多電子自源極漂移到夾斷點,導致在耗盡區漂移電子增多,使Id增大的效應。
以在加柵壓Vgs且形成導電溝道的情況下的NMOSFET為例。若漏源電壓Vds增大至不可忽略,溝道電壓降增大直至Vgd=VT時,由于柵漏之間電壓差降低,漏端附近反型層消失,稱為溝道夾斷。若繼續增大Vds,夾斷點將向源端移動,故"看起來",有效溝道長度減小,稱為溝道調制效應。
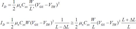
當MOS管工作在飽和區,導電溝道產生夾斷,溝道的長度從L變成了L’,
此時電流公式改寫為:


我們采用一個簡單的參數λ來表示VDS對漏極電流ID的影響,定義:


由此可以得到考慮了溝道長度調制效應的MOS管飽和區的電流公式:


由于λ∝1/L,對于長溝道的器件而言(例如L>10um), λ的數值很小,λVDS<<1,所以這個誤差可以忽略。而溝道越短,這個誤差就越大。事實上,對于短溝道的MOS管,用一個簡單的參數λ來體現溝道長度調制效應是非常不準確的。因而我們有時會發現,電路仿真的結果和用公式計算出來的結果完全不同。所以說一階的近似公式更主要的是起到電路設計的指導作用。
此現象得ID/VDS特性曲線在飽和區出現非零斜率,源漏間電流源非理想。
如下圖所示


MOS場效應管工作在飽和區,要慮溝道長度調制效應,但是三極管區不存在。
〈烜芯微/XXW〉專業制造二極管,三極管,MOS管,橋堆等,20年,工廠直銷省20%,上萬家電路電器生產企業選用,專業的工程師幫您穩定好每一批產品,如果您有遇到什么需要幫助解決的,可以直接聯系下方的聯系號碼或加QQ/微信,由我們的銷售經理給您精準的報價以及產品介紹
聯系號碼:18923864027(同微信)
QQ:709211280