電壓比較器它可用作模擬電路和數字電路的接口,還可以用作波形產生和變換電路等。利用簡單電壓比較器可將正弦波變為同頻率的方波或矩形波。電壓比較器輸入是線性量,而輸出是開關(高低電平)量。它將一個模擬量電壓信號和一個參考固定電壓相比較,在二者幅度相等的附近,輸出電壓將產生躍變,相應輸出高電平或低電平。比較器可以組成非正弦波形變換電路及應用于模擬與數字信號轉換等領域。一般應用中,有時也可以用線性運算放大器,在不加負反饋的情況下,構成電壓比較器來使用。
運算放大器構成的電壓比較器
集成運算放大器除了能對各種模擬信號進行運算外,還可以對信號進行處理,如作有源濾波器和電壓比較器等。
運算放大器作電壓比較器時,工作在飽和區。下面公式中的Uo max和Uo min分別為uo的最大值和最小值(即正負飽和輸出電壓+Uo(sat)和-Uo(sat))。
1、簡單比較器
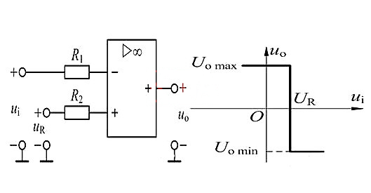
(1)反相輸入

圖1 簡單比較器(反相輸入)電路圖 圖2 簡單比較器(反相輸入)傳輸特性
比較器的輸入信號ui接運放的反相輸入端,參考電壓UR接運放的同相輸入端,有

(2) 同相輸入

圖3 簡單比較器(同相輸入)電路圖 圖4 簡單比較器(同相輸入)傳輸特性
比較器的輸入信號ui接運放的同相輸入端,參考電壓UR接運放的反相輸入端,有

若簡單比較器的參考電壓為零,則稱為過零比較器。
2、滯回比較器
在簡單比較器的基礎上引入正反饋,即得滯回比較器。
(1) 反相輸入

圖5 滯回比較器(反相輸入)電路圖 圖6 滯回比較器(反相輸入)傳輸特性
比較器的輸入信號ui接運放的反相輸入端,參考電壓UR接運放的同相輸入端,有

回差為

(2) 同相輸入
比較器的輸入信號ui接運放的同相輸入端,參考電壓UR接運放的反相輸入端,有

回差為

〈烜芯微/XXW〉專業制造二極管,三極管,MOS管,橋堆等,20年,工廠直銷省20%,上萬家電路電器生產企業選用,專業的工程師幫您穩定好每一批產品,如果您有遇到什么需要幫助解決的,可以直接聯系下方的聯系號碼或加QQ/微信,由我們的銷售經理給您精準的報價以及產品介紹
聯系號碼:18923864027(同微信)
QQ:709211280