作為放大器,其最重要的功能就是在大信號的支持下且保證一定精度時強調對小信號的增益。本文介紹一個公式(未必完全通用,但一定滿足本文介紹的四種放大器)并加以驗證來加深對于小信號增益的理解。
通用公式

首先我們知道,對于一個MOS管而言,其本征增益為Avs=?gm?ro,其中,gm,ro分別為MOS管本身的跨導和溝道電阻(自身輸出電阻)。對于小信號而言,負載電阻一定與空載電阻并聯,以至于帶載電阻一定不大于空載電阻。
這就導致了一個必然結果,任何共源級電路的小信號的增益一定不大于MOS管的本征增益,且僅當負載的電阻為∞時,空載輸出電阻與帶載輸出電阻相同,才能達到本征增益。

左圖中我們可以看到NMOS無體效應,且以電阻為負載,右圖是該電路的小信號電路,考慮了溝長調制效應。
我們可以看到,該電路中空載輸出電阻是ro,帶了負載RD時,輸出電阻為RD//ro,故該電路的小信號增益為

3、二極管連接MOS管為負載

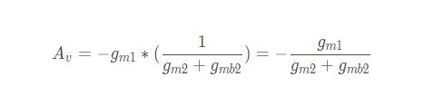
二極管連接的MOS管的優勢是小信號的增益的高線性度,

在我們忽略掉溝道電阻之后

由于體跨導是輸出電壓的函數,故而為信號增益帶來了非線性。一般用二極管連接的PMOS負載來消除體效應。
4、帶源級負反饋的共源級

改善增益非線性的另一種方法就是提供源級負反饋電阻,從公式的角度來看,加入負反饋,并不影響電路的負載電阻,但同時影響了空載電阻和總電阻。上圖中忽略了體效應和溝長調制效應。在計算中,我們自行添加。對于輸出電阻的計算方法在此不再贅述。

〈烜芯微/XXW〉專業制造二極管,三極管,MOS管,橋堆等,20年,工廠直銷省20%,上萬家電路電器生產企業選用,專業的工程師幫您穩定好每一批產品,如果您有遇到什么需要幫助解決的,可以直接聯系下方的聯系號碼或加QQ/微信,由我們的銷售經理給您精準的報價以及產品介紹
聯系號碼:18923864027(同微信)
QQ:709211280