一、MOS管平方關系模型
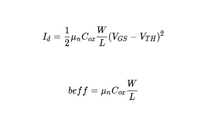
MOS管溝道飽和區電流ID(不考慮非理想效應)

二、如何進行仿真得到手算參數
首先在原理圖中放上器件,以NMOS為例子,同時分別設置好NMOS溝道長度和寬度,還有將對應器件電壓也設置成變量,設成變量方面后面仿真條件下修改參數。



關注的參數
需要關注的參數是beff和betaeff,其中beff就是平方率關系對應的理想參數(完全不考慮溝道調制效應等,是可以計算過后發現,用得到的閾值電壓還有Id算出來完全符合平方率關系對應的理想值),betaeff是修正的跨導模型參數,畢竟現在模型不是以前的那種簡單模型了。
MOS管溝道飽和區電流ID

〈烜芯微/XXW〉專業制造二極管,三極管,MOS管,橋堆等,20年,工廠直銷省20%,上萬家電路電器生產企業選用,專業的工程師幫您穩定好每一批產品,如果您有遇到什么需要幫助解決的,可以直接聯系下方的聯系號碼或加QQ/微信,由我們的銷售經理給您精準的報價以及產品介紹
聯系號碼:18923864027(同微信)
QQ:709211280