開關電源電路設計公式
MOSFET開關管工作的ZD占空比Dmax:

式中:Vor為副邊折射到原邊的反射電壓,當輸入為AC 220V時反射電壓為135V;VminDC為整流后的ZD直流電壓; VDS為MOSFET功率管導通時D與S極間電壓,一般取10V。
變壓器原邊繞組電流峰值IPK為:

式中:η為變壓器的轉換效率;Po為輸出額定功率,單位為W。
變壓器原邊電感量LP:

式中:Ts為開關管的周期(s);LP單位為H。
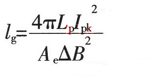
變壓器的氣隙lg:

式中:Ae為磁芯的有效截面積(cm2);△B為磁芯工作磁感應強度變化值(T);Lp單位取H,IPK單位取A,lg單位為mm。
變壓器磁芯
反激式變換器功率通常較小,一般選用鐵氧體磁芯作為變壓器磁芯,其功率容量AP為:

式中:AQ為磁芯窗口面積,單位為cm2;Ae為磁芯的有效截面積,單位為cm2;Po是變壓器的標稱輸出功率,單位為W;
fs為開關管的開關頻率;Bm為磁芯ZD磁感應強度,單位為T;δ為線圈導線的電流密度,通常取200~300A/cm2,η是變壓器的轉換效率;
Km為窗口填充系數,一般為0.2~0.4;KC為磁芯的填充系數,對于鐵氧體為1.0。
根據求得的AP值選擇余量稍大的磁芯,一般盡量選擇窗口長寬之比較大的磁芯,這樣磁芯的窗口有效使用系數較高,同時可以減少漏感。
變壓器原邊匝數NP:

式中:△B為磁芯工作磁感應強度變化值(T),Ae單位為cm2,Ts單位為s。
變壓器副邊匝數Ns:

中:VD為變壓器二次側整流二極管導通的正向壓降。
功率開關管的選擇
開關管的ZX電壓應力UDS
一般選擇DS間擊穿電壓應比式計算值稍大的MOSFET功率管。
繞組電阻值R:
MUT為平均每匝導線長度(cm); N為導線匝數;為20℃時導線每cm的電阻值(μΩ)。
原、副邊繞組電阻值可通過求繞組電阻值R的公式求出,當求原邊繞組銅耗時,電流用原邊峰值電流IPK來計算;求副邊繞組銅耗時,電流用輸出電流Io來計算。
磁芯損耗
磁芯損耗取決于工作頻率、工作磁感應強度、電路工作狀態和所選用的磁芯材料的性能。對于雙極性開關變壓器,磁芯損耗PC:
Pb為在工作頻率、工作磁感應強度下單位質量的磁芯損耗(W/kg);Gc為磁芯質量(Kg)。
對于單極性開關變壓器,由于磁芯工作于磁滯回線的半區,所以磁芯損耗約為雙極性開關變壓器的一半。變壓器總損耗為總銅耗與磁芯損耗之和。
〈烜芯微/XXW〉專業制造二極管,三極管,MOS管,橋堆等,20年,工廠直銷省20%,上萬家電路電器生產企業選用,專業的工程師幫您穩定好每一批產品,如果您有遇到什么需要幫助解決的,可以直接聯系下方的聯系號碼或加QQ/微信,由我們的銷售經理給您精準的報價以及產品介紹
電話:18923864027(同微信)
QQ:709211280
〈烜芯微/XXW〉專業制造二極管,三極管,MOS管,橋堆等,20年,工廠直銷省20%,上萬家電路電器生產企業選用,專業的工程師幫您穩定好每一批產品,如果您有遇到什么需要幫助解決的,可以直接聯系下方的聯系號碼或加QQ/微信,由我們的銷售經理給您精準的報價以及產品介紹