尖峰電流的形成:
數字電路輸出高電平時從電源拉出的電流Ioh和低電平輸出時灌入的電流Iol的大小一般是不同的,即:Iol>Ioh。以下圖的TTL與非門為例說明尖峰電流的形成:

輸出電壓如右圖(a)所示,理論上電源電流的波形如右圖(b),而實際的電源電流保險如右圖(c)。由圖(c)可以看出在輸出由低電平轉換到高電平時電源電流有一個短暫而幅度很大的尖峰。尖峰電源電流的波形隨所用器件的類型和輸出端所接的電容負載而異。
產生尖峰電流的主要原因是:
輸出級的T3、T4管短設計內同時導通。在與非門由輸出低電平轉向高電平的過程中,輸入電壓的負跳變在T2和T3的基極回路內產生很大的反向驅動電流,由于T3的飽和深度設計得比T2大,反向驅動電流將使T2首先脫離飽和而截止。T2截止后,其集電極電位上升,使T4導通??墒谴藭rT3還未脫離飽和,因此在極短得設計內T3和T4將同時導通,從而產生很大的ic4,使電源電流形成尖峰電流。圖中的R4正是為了限制此尖峰電流而設計。
低功耗型TTL門電路中的R4較大,因此其尖峰電流較小。當輸入電壓由低電平變為高電平時,與非門輸出電平由高變低,這時T3、T4也可能同時導通。但當T3開始進入導通時,T4處于放大狀態,兩管的集-射間電壓較大,故所產生的尖峰電流較小,對電源電流產生的影響相對較小。
產生尖峰電流的另一個原因是負載電容的影響。與非門輸出端實際上存在負載電容CL,當門的輸出由低轉換到高時,電源電壓由T4對電容CL充電,因此形成尖峰電流。
當與非門的輸出由高電平轉換到低電平時,電容CL通過T3放電。此時放電電流不通過電源,故CL的放電電流對電源電流無影響。
尖峰電流的抑制方法:
1、在電路板布線上采取措施,使信號線的雜散電容降到最??;
2、 另一種方法是設法降低供電電源的內阻,使尖峰電流不至于引起過大的電源電壓波動;
3、 通常的作法是使用去耦電容來濾波,一般是在電路板的電源入口處放一個1uF~10uF的去耦電容,濾除低頻噪聲;在電路板內的每一個有源器件的電源和地之間放置一個0.01uF~0.1uF的去耦電容(高頻濾波電容),用于濾除高頻噪聲。
濾波的目的是要濾除疊加在電源上的交流干擾,但并不是使用的電容容量越大越好,因為實際的電容并不是理想電容,不具備理想電容的所有特性。
去耦電容的選取可按C=1/F計算,其中F為電路頻率,即10MHz取0.1uF,100MHz取0.01uF。一般取0.1~0.01uF均可。
放置在有源器件傍的高頻濾波電容的作用有兩個,其一是濾除沿電源傳導過來的高頻干擾,其二是及時補充器件高速工作時所需的尖峰電流。所以電容的放置位置是需要考慮的。
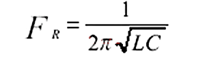
實際的電容由于存在寄生參數,可等效為串聯在電容上的電阻和電感,將其稱為等效串聯電阻(ESR)和等效串聯電感(ESL)。這樣,實際的電容就是一個串聯諧振電路,其諧振頻率為:

實際的電容在低于Fr的頻率呈現容性,而在高于Fr的頻率上則呈現感性,所以電容更象是一個帶阻濾波器。
10uF的電解電容由于其ESL較大,Fr小于1MHz,對于50Hz這樣的低頻噪聲有較好的濾波效果,對上百兆的高頻開關噪聲則沒有什么作用。
電容的ESR和ESL是由電容的結構和所用的介質決定的,而不是電容量。通過使用更大容量的電容并不能提高抑制高頻干擾的能力,同類型的電容,在低于Fr的頻率下,大容量的比小容量的阻抗小,但如果頻率高于Fr,ESL決定了兩者的阻抗不會有什么區別。
電路板上使用過多的大容量電容對于濾除高頻干擾并沒有什么幫助,特別是使用高頻開關電源供電時。另一個問題是,大容量電容過多,增加了上電及熱插拔電路板時對電源的沖擊,容易引起如電源電壓下跌、電路板接插件打火、電路板內電壓上升慢等問題。
PCB布局時去耦電容擺放
對于電容的安裝,首先要提到的就是安裝距離。容值最小的電容,有最高的諧振頻率,去耦半徑最小,因此放在最靠近芯片的位置。容值稍大些的可以距離稍遠,最外層放置容值最大的。
但是,所有對該芯片去耦的電容都盡量靠近芯片。下面的圖1就是一個擺放位置的例子。本例中的電容等級大致遵循10倍等級關系。

還有一點要注意,在放置時,最好均勻分布在芯片的四周,對每一個容值等級都要這樣。通常芯片在設計的時候就考慮到了電源和地引腳的排列位置,一般都是均勻分布在芯片的四個邊上的。
因此,電壓擾動在芯片的四周都存在,去耦也必須對整個芯片所在區域均勻去耦。如果把上圖中的680pF電容都放在芯片的上部,由于存在去耦半徑問題,那么就不能對芯片下部的電壓擾動很好的去耦。
電容的安裝
在安裝電容時,要從焊盤拉出一小段引出線,然后通過過孔和電源平面連接,接地端也是同樣。這樣流經電容的電流回路為:電源平面->過孔->引出線->焊盤->電容->焊盤->引出線->過孔->地平面,圖2直觀的顯示了電流的回流路徑。

第一種方法從焊盤引出很長的引出線然后連接過孔,這會引入很大的寄生電感,一定要避免這樣做,這是最糟糕的安裝方式。
第二種方法在焊盤的兩個端點緊鄰焊盤打孔,比第一種方法路面積小得多,寄生電感也較小,可以接受。
第三種在焊盤側面打孔,進一步減小了回路面積,寄生電感比第二種更小,是比較好的方法。
第四種在焊盤兩側都打孔,和第三種方法相比,相當于電容每一端都是通過過孔的并聯接入電源平面和地平面,比第三種寄生電感更小,只要空間允許,盡量用這種方法。最后一種方法在焊盤上直接打孔,寄生電感最小,但是焊接是可能會出現問題,是否使用要看加工能力和方式。
需要強調一點:有些工程師為了節省空間,有時讓多個電容使用公共過孔,任何情況下都不要這樣做。最好想辦法優化電容組合的設計,減少電容數量。
由于印制線越寬,電感越小,從焊盤到過孔的引出線盡量加寬,如果可能,盡量和焊盤寬度相同。這樣即使是0402封裝的電容,你也可以使用20mil寬的引出線。引出線和過孔安裝如圖4所示,注意圖中的各種尺寸。

〈烜芯微/XXW〉專業制造二極管,三極管,MOS管,橋堆等,20年,工廠直銷省20%,上萬家電路電器生產企業選用,專業的工程師幫您穩定好每一批產品,如果您有遇到什么需要幫助解決的,可以直接聯系下方的聯系號碼或加QQ/微信,由我們的銷售經理給您精準的報價以及產品介紹