1、PNP 型單級共射放大器電路圖如下:


2、靜態工作點的理論計算:
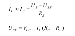
靜態工作點可由以下幾個關系式確定:




由以上式子可知,當管子確定后,改變 Vcc、R、Rp2、R 中任意參數值,都會導致靜態工作點的變化。當電路參數確定后,靜態工作點主要通過 R,調整。工作點偏高,輸出信號波形易產生飽和失真;工作點偏低,輸出波形易產生截止失真。但當輸入信號過大時,管子將工作在非線性區,輸出波形會產生雙向失真。當輸出波形不很大時,靜態工作點的設置應偏低,以減小電路的靜態損耗。
3、電壓放大倍數的測量與計算
電壓放大倍數是指放大電路輸出端的信號電壓(變化電壓)與輸入端的信號電壓之比,


當放大電路靜態工作點設置合理后,在其輸入端加適當的正弦信號,同時用示波器觀察放大電路的輸出波形,在輸出波形不失真的條件下,用交流毫伏表或示波器分別測量放大電路的輸入、輸出電壓,再按定義式計算即可。
pnp 共射極放大電路原理圖
4、輸入電阻 Ri 的測量計算
輸入電阻就是從放大器輸入端看進去的等效電阻,測量時可用串聯電阻法來進行 . 在信號源與放大電路輸入端串接已知電阻 Rs,則


5、輸出電阻 Ro 的測量計算
輸出電阻就是從放大器輸入端看進去的等效電阻,對負載電阻而言,放大器等效為信號源,若采用電壓源的形式,即為一個理想電壓源 Uo 和內阻 Ro 相串聯,Ro 的大小直接影響負載上的電壓和電流,故 Ro 稱為放大器的輸出電阻。測輸出電阻 Ro 時,采用單負載電阻法 . 利用交流電壓表分別測量 Uo 和 Uol 的值。則


6、放大電路頻率特性的測量
對于阻容耦合的放大器,由于耦合電容及射極電容的存在,使 Au 隨信號頻率的降低而降低;又因為分布電容的存在集受晶體管截止頻率的限制,使 Au 隨信號頻率的升高而降低。僅在中頻段,這些電容的影響才可忽略,Au 與 f 關系的曲線稱為 RC 耦合放大器的幅頻特性曲線,Au=0.707Am 時所對應的 f,和 f,分別稱為上限頻率和下限頻率,BW 稱為通頻帶,其值為:
。
烜芯微專業制造二極管,三極管,MOS管,橋堆等20年,工廠直銷省20%,4000家電路電器生產企業選用,專業的工程師幫您穩定好每一批產品,如果您有遇到什么需要幫助解決的,可以點擊右邊的工程師,或者點擊銷售經理給您精準的報價以及產品介紹

烜芯微專業制造二極管,三極管,MOS管,橋堆等20年,工廠直銷省20%,4000家電路電器生產企業選用,專業的工程師幫您穩定好每一批產品,如果您有遇到什么需要幫助解決的,可以點擊右邊的工程師,或者點擊銷售經理給您精準的報價以及產品介紹