MOSFET中的噪聲
噪聲源
MOS器件的本底噪聲是器件中電壓和電流的自發漲落,與電子電荷的離散性緊密相關。
噪聲的影響受器件及其所在電路放大能力的限制。
外界噪聲可以通過適當的屏蔽處理進行減弱或消除,但是本底噪聲由器件自發產生,不能完全消除。
MOSFET中的噪聲:MOS器件的本底噪聲包括熱噪聲(Thermal Noise) 、散粒噪聲(Shot Noise) 和閃爍噪聲(Flicker noise)
溝道的熱噪聲會產生誘生柵極噪聲。
熱噪聲
熱噪聲(Thermal Noise)在任何熱平衡的電阻中都存在。其物理本質是電子與熱激發原子的隨機碰撞,類似于小顆粒在液體中的布朗運動。
對于布朗運動的處理,采用平衡態統計力學處理。
散粒噪聲
散粒噪聲(Shot Noise) 與隨機越過勢壘的載流子有關。
在半導體器件中,越過PN結的載流子的隨機擴散以及電子空穴對的隨機產生和復合導致流過勢壘的電流在其平均值附近隨機漲落,引起散粒噪聲。
散粒噪聲存在于真空管和半導體器件中。
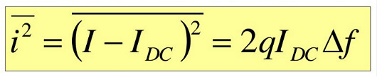
肖特基推導了散粒噪聲電流公式:

IDC為通過勢壘的平均直流電流。
同樣,散粒噪聲譜密度與頻豐無關,所有頻率上具有相同的噪聲功率,散粒噪聲同樣也是白噪聲。
散粒噪聲只與通過勢壘的平均直流電流有關。因此,為了減少散粒噪聲的不利影響,流過器件的直流電流應越小越好,尤其是放大器的前置級。
閃爍噪聲
電子器件的閃爍噪聲(Flicker Noise)是由兩種導體的接觸點電導的隨機漲落引起的。
凡是有導體接觸不理想的器件都存在閃爍噪聲,所以又稱為接觸噪聲。由于其功率譜密度正比于1/f,頻率越低噪聲越嚴重,所以又稱為1/f噪聲或低頻噪聲。
1925年,J.B.Johnson 在“低頻電路中的肖特基效應”的論文中第一次提出了“1/f噪聲”這一術語。在考查肖特基效應時,J.B.Johnson發現除了散粒噪聲以外,在低頻部分還有較強烈的電流噪聲。若使用氧化物陰極,該電流就更大。
經過進一步的實驗,J.B.Johnson 還發現這個在低頻部分的電流噪聲的功率譜密度和頻率f成反比,因此,他把這種噪聲稱作“1/f噪聲”,即閃爍噪聲。
1/f噪聲在自然界中廣泛存在,不僅出現在半導體、金屬薄膜、電解液中,還以非電子形式出現在機械和生物系統中。
人在安靜狀態下的心跳周期的波動規律以及α腦波的波動規律與1/f波動規律相吻合,因此1/f波動作用在人身上會令人感到舒服。
自然風的頻譜符合1/f波動規律,使人感覺輕松舒適。
詳細的噪聲源機制尚不完全清楚,但一般來講,半導體器件中的1/f噪聲是由晶體結構中雜質的缺陷引起的各種效應產生的。在MOS結構中,1/f噪聲與定期捕獲和釋放載流子的氧化物表面狀態有關。
MOS中的閃爍噪聲由晶體缺陷、表面態或表面不穩定性產生。其功率譜密度S(f)一般滿足關系

K、EF為常數,一般情況下EF≈1,即閃爍噪聲與頻率成反比。
閃爍噪聲在所有半導體器件甚至電阻等無源器件中均存在,其發生沒有統一的物理機制解釋。因此,需要通過實驗確定K和EF。
對于的MOS中的閃爍噪聲,已經有一定研究進展。
MOSFET中的噪聲特性總結
主要噪聲源:
①溝道熱噪聲(與頻率無關);
②誘生柵極噪聲(與頻率的平方成正比);
③與表面等有關的1/f噪聲(與頻率成反比)。

烜芯微專業制造二極管,三極管,MOS管,橋堆等20年,工廠直銷省20%,4000家電路電器生產企業選用,專業的工程師幫您穩定好每一批產品,如果您有遇到什么需要幫助解決的,可以點擊右邊的工程師,或者點擊銷售經理給您精準的報價以及產品介紹