計算MOSFET的耗散功率
為了確定一個MOSFET是否適合于某特定應用,你必須計算一下其功率耗散,它主要包含阻性和開關損耗兩部分:

由于MOSFET耗散功率很大程度上依賴于它的導通電阻(Rds(ON),計算RDs(ON)看上去是一個很好的出發點。但是MOSFET的Rds(ON)與它的結溫(Tj)有關。話說回來,Tj 又依賴于MOSFET的功率耗散以及MOSFET的熱阻(θjA)。這樣,似乎很難找到一個著眼點。由于功率耗散的計算涉及到若干個相互依賴的因素,我們可以采用一種迭代過程獲得我們所需要的結果。

迭代過程始于為每個MOSFET假定一個結溫,然后,計算每個MOSFET各自的功率耗散和允許的環境溫度。當允許的環境氣溫達到或略高于期望的機殼內最高溫度時,這個過程便結束了。有些人總試圖使這個計算所得的環境溫度盡可能高,但通常這并不是一個好主意。
這樣作就要求采用更昂貴的MOSFET,在MOSFET下鋪設更多的銅膜,或者要求采用一個更大、更快速的風扇產生氣流一所有這些都不是我們所期望的。從某種意義上講,先假定一個MOSFET結溫,然后再計算環境溫度,這是一種逆向的考慮方法。畢竟環境溫度決定了MOSFET的結溫一而不是相反。
不過,從一個假定的結溫開始計算要比從環境溫度開始容易一些。對于開關MOSFET和同步整流器,我們可以選擇一個最大允許的管芯結溫(TJ(HOT)作為迭代過程的出發點。
多數MOSFET的數據手冊只規定了+25°C下的最大Rds(ON),不過最近有些產品也提供了+125'C下的最大值。MOSFET的RDS(ON)隨著溫度而增加,典型溫度系數在0.35%/°C至0.5%/°C之間。

如果拿不準,可以用一個較為保守的溫度系數和MOSFET的+25°C規格(或+125°C規格,如果有的話)近似估算在選定的TJ(HOT)下的最大Rds(ON):

其中,Rds(ON)SPEC 是計算所用的MOSFET導通電阻,TsPEC 是規定Rds(ON)SPEc時的溫度。利用計算出的Rds(ON)HOT,可以確定同步整流器和開關MOSFET的功率消耗,具體做法如下所述,我們將討論如何計算各個MOSFET在給定的管芯溫度下的功率消耗,以及完成迭代過程的后續步驟(整個過程詳述于圖1)。
同步整流器的功率消耗
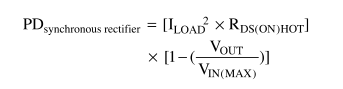
除最輕負載以外,各種情況下同步整流器MOSFET的漏源電壓在打開和關閉過程中都會被續流二極管鉗位。因此,同步整流器幾乎沒有開關損耗,它的功率消耗很容易計算。只需要考慮阻性損耗即可。最壞情況下的損耗發生在同步整流器工作在最大占空比時,也就是當輸人電壓達到最大時。
利用同步整流器的RDS(ON)HOT和工作占空比,通過歐姆定律,我們可以近似計算出它的功率消耗:

開關MOSFET的功率耗散
開關MOSFET的阻性損耗計算和同步整流器非常相似,也要利用它的占空比(不同于前者)和

開關MOSFET的開關損耗計算起來比較困難,因為它依賴于許多難以量化并且通常沒有規格的因素,這些因素同時影響到打開和關閉過程。我們可以首先用以下粗略的近似公式對某個MOSFET進行評價,然后通過實驗對其性能進行驗證:

其中CRss是MOSFET的反向傳輸電容(數據手冊中的一個參數),fsw 為開關頻率,IGATE是MOSFET的柵極驅動器在MOSFET處于臨界導通(VGs位于柵極充電曲線的平坦區域)時的吸收/源出電流。一旦基于成本因素將選擇范圍縮小到了特定的某一代MOSFET(不同代MOSFET的成本差別很大),我們就可以在這一代的器件中找到一個能夠使功率耗散最小的器件。
這個器件應該具有均衡的阻性和開關損耗。使用更小(更快)的器件所增加的阻性損耗將超過它在開關損耗方面的降低,而更大(Rds(ON)更低)的器件所增加的開關損耗將超過它對于阻性損耗的降低。如果VIN是變化的,需要在VIN(MAX)和VIN(MIN)下分別計算開關MOSFET的功率耗散。
MOSFET功率耗散的最壞情況可能會出現在最低或最高輸入電壓下。該耗散功率是兩種因素之和:在VIN(MIN)時達到最高的阻性耗散(占空比較高),以及在VIN(MAx)時達到最高的開關損耗(由于VIN2項的緣故)。一個好的選擇應該在VIN的兩種極端情況下具有大致相同的耗散,并且在整個VIN范圍內保持均衡的阻性和開關損耗。
如果損耗在VIN(MIN)時明顯高出,則阻性損耗起主導作用。這種情況下,可以考慮用一個更大一點的開關MOSFET(或將一個以上的多個管子相并聯)以降低RDs(ON).但如果在VIN(MAx)時損耗顯著高出,則應該考慮降低開關MOSFET的尺寸(如果是多管并聯的話,或者去掉一個MOSFET),以便使其開關速度更快一點。
如果阻性和開關損耗已達平衡,但總功耗仍然過高,有多種辦法可以解決:改變問題的定義。例如,重新定義輸人電壓范圍。
改變開關頻率以便降低開關損耗,有可能使用更大一點的、RdS(ON)更低的開關MOSFET。
增加柵極驅動電流,有可能降低開關損耗。MOSFET自身的內部柵極電阻最終限制了柵極驅動電流,實際上限制了這種方法的有效性。
采用一個改進技術的MOSFET,以便同時獲得更快的開關速度、更低的RDS(ON)和更低的柵極電阻。
脫離某個給定的條件對MOSFET的尺寸作更精細的調整是不大可能的,因為器件的選擇范圍是有限的。選擇的底線是MOSFET在最壞情況下的功耗必須能夠被耗散掉。
烜芯微專業制造二極管,三極管,MOS管,橋堆等20年,工廠直銷省20%,4000家電路電器生產企業選用,專業的工程師幫您穩定好每一批產品,如果您有遇到什么需要幫助解決的,可以點擊右邊的工程師,或者點擊銷售經理給您精準的報價以及產品介紹
烜芯微專業制造二極管,三極管,MOS管,橋堆等20年,工廠直銷省20%,4000家電路電器生產企業選用,專業的工程師幫您穩定好每一批產品,如果您有遇到什么需要幫助解決的,可以點擊右邊的工程師,或者點擊銷售經理給您精準的報價以及產品介紹