晶體管用作開關或雙極結晶體管或BJT作為開關的工作原理:當開關處于“OFF”位置時,開關提供開路(無限電阻),當它處于“ON”位置時,開關提供短路(零電阻)。類似地,在雙極結型晶體管中,通過控制基極 - 發射極電流,可以使發射極 - 集電極電阻幾乎無限或幾乎為零。

在晶體管特性中,存在三個區域。他們是
1、截止區域
2、 活動區域
3、飽和區域

在有源區中,對于寬范圍的集電極 - 發射極電壓(V CE),集電極電流(I C)保持恒定。由于電壓范圍很寬且集電極電流幾乎恒定,如果晶體管在該區域工作,則會有明顯的功率損耗。當理想開關關閉時,電流為零,因此沒有功率損耗。類似地,當開關接通時,開關兩端的電壓為零,因此沒有再次斷電。當我們想要將BJT作為開關操作時,它必須以這樣的方式操作,使得在ON和OFF狀態期間的功率損耗幾乎為零或非常低。
只有當晶體管僅在特性的邊緣區域中工作時才有可能。截止區域和飽和區域是晶體管特性中的兩個邊緣區域。
在該圖中,當基極電流為零時,集電極電流(I C)對于寬范圍的集電極 - 發射極電壓(V CE)具有非常小的恒定值。因此,當晶體管與基極電流操作≤0時,集電極電流(I C ^ ≈0)非常微小,因此,該晶體管被說成是在OFF狀態,但在同一時間,跨越該晶體管開關即我的功率損耗? ×V CE因微小的I C而可忽略不計。

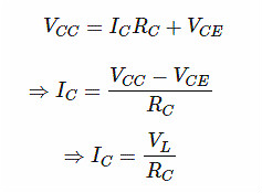
晶體管與輸出電阻R C串聯連接。因此,通過輸出電阻的電流是

如果晶體管以基極電流I B3工作,其集電極電流為I C1。I C小于I C1,然后晶體管工作在飽和區。這里,對于任何小于I C1的集電極電流,將有非常小的集電極 - 發射極電壓(V CECE1)。因此,在這種情況下,通過晶體管的電流與負載電流一樣高,但晶體管兩端的電壓(V CE CE1)非常低,因此晶體管中的功率損耗可以忽略不計。

晶體管表現為ON開關。因此,對于使用晶體管作為開關,我們應該確保所施加的基極電流必須足夠高以使晶體管保持在飽和區域,以獲得集電極電流。

因此,從上面的解釋,我們可以得出結論,雙極結型晶體管僅在其特性的截止和飽和區域工作時才表現為開關。在切換應用中,避免了有源區域或有源區域的特性。正如我們已經說過的,晶體管開關的功率損耗非常低,但不是零。因此,它不是一個理想的開關,但可以作為特定應用的開關。
我們都知道一臺計算機的核心就是處理器(CPU),它的職責就是運算,而CPU是一塊超大規模的集成電路,所以我們要想弄清楚計算機的運算機制就要了解集成電路是如何具有運算能力的,而集成電路是由大量晶體管等電子元器件封裝而成的,所以探究計算機的計算能力就可以從晶體管的功能入手。
眾所周知,CPU的價格非常昂貴也就是因為里面的晶體管很多,一個晶體管的改進至少需要上一個晶體管三年的銷售成本,所以在7nm晶體管研發出來之后需要資金進行研發,在晶體管當中圓晶太大發熱量也就很大,耗電自然也會非常高,所以晶體管工藝的提高能夠大大的降低發熱量和耗電量。當然說到這里可能大家就非常清楚為什么不繼續研究5NM的晶體管了,當然5nm的晶體管相對于7NM的晶體管不僅僅是長度場的差距,更大的差距則是在工藝和定律上的差距。
烜芯微專業制造二極管,三極管,MOS管,橋堆等20年,工廠直銷省20%,1500家電路電器生產企業選用,專業的工程師幫您穩定好每一批產品,如果您有遇到什么需要幫助解決的,可以點擊右邊的工程師,或者點擊銷售經理給您精準的報價以及產品介紹
烜芯微專業制造二極管,三極管,MOS管,橋堆等20年,工廠直銷省20%,1500家電路電器生產企業選用,專業的工程師幫您穩定好每一批產品,如果您有遇到什么需要幫助解決的,可以點擊右邊的工程師,或者點擊銷售經理給您精準的報價以及產品介紹