今天我們來介紹一下貼片三極管共集電極放大電路, 貼片三極管共集電極放大電路圖如下:

高輸入阻抗及低輸出阻抗的特性可作阻抗匹配用,以改善電壓信號的負載效應。其電路特性歸納如下:
輸入阻抗高(Ri約20 k );輸出阻抗低(RO約20 )。
貼片三極管共集電極放大電路電流增益:


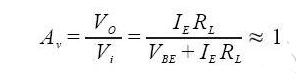
貼片三極管共集電極放大電路電壓增益:


電壓增益等于1,表示射極的輸出信號追隨著基極的輸入信號,所以共集極放大器又稱為射極隨耦器(emitter follower)。功率增益Ap = AI &TImes; Av≈β ,功率增益低。
烜芯微專業制造二極管,三極管,MOS管,橋堆等20年,工廠直銷省20%,1500家電路電器生產企業選用,專業的工程師幫您穩定好每一批產品,如果您有遇到什么需要幫助解決的,可以點擊右邊的工程師,或者點擊銷售經理給您精準的報價以及產品介紹
烜芯微專業制造二極管,三極管,MOS管,橋堆等20年,工廠直銷省20%,1500家電路電器生產企業選用,專業的工程師幫您穩定好每一批產品,如果您有遇到什么需要幫助解決的,可以點擊右邊的工程師,或者點擊銷售經理給您精準的報價以及產品介紹