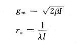
偏置電路有兩種,即電流偏置電路和電壓偏置電路。設計CMOS模擬電路時最常用的是電流偏置電路。這是由于MOS晶體管的跨導gm和輸出電阻ro是決定電路工作(放大增益和頻率特性)的基本參數,如式(7.1)所示,這一點可以用電流I簡單地表現出來:

式中,β是溝道長寬比有關的參量;入是ID-VDS特性的斜率。
理想的電流偏置源電路是在工作環境溫度、電源電壓、輸出電壓有變動的情況下仍然能夠持續提供恒定電流的電路。
首先,引見對外部提供的參考電流進行復制、在電路必要的中央制造電流源的方法。為了復制電流,需求監視參考電流的機構。最簡單的方法就是二極管銜接的MOS晶體管。如圖7.1所示,假設運用二極管銜接器件,那么參考電流Iref就被變換為柵極電壓VGS:


考慮到電流開端流過MOS晶體管時的柵極電壓VGS,就是閾值電壓VT,可以看出,過驅動電壓△ov是為了流過電流Iref,在柵極上額外多加的電壓。思索到Mos晶體管的柵極電流是由柵極—源極間電壓決議的(前提是工作在飽和區VDS

CMOS模擬電路巾有兩種電流源:給附加的電子電路提供電流的電流源,以及反過來從電子電路引出電流的電流源(也叫做電流吸收)。這兩種電流源可以用上述方法制造,不過前者的電流源電路用p溝MOS晶體管完成,后者用n溝MOS晶體管完成。運用這種方法,就能夠在模擬電路的恣意處制造甚毫幾個電流源。
烜芯微專業制造二極管,三極管,MOS管,20年,工廠直銷省20%,1500家電路電器生產企業選用,專業的工程師幫您穩定好每一批產品,如果您有遇到什么需要幫助解決的,可以點擊右邊的工程師,或者點擊銷售經理給您精準的報價以及產品介紹
烜芯微專業制造二極管,三極管,MOS管,20年,工廠直銷省20%,1500家電路電器生產企業選用,專業的工程師幫您穩定好每一批產品,如果您有遇到什么需要幫助解決的,可以點擊右邊的工程師,或者點擊銷售經理給您精準的報價以及產品介紹