功率MOSFET是從小功率MOS管展開來的。但在結構上,它們之間相差很大,為了更好天文解功率MOSFET的機理,首先來回想一下小功率場效應管的機理。以下以N溝道增強型小功率MOSFET的結構來說明MOS管的原理。


N溝道增強型小功率MOSFET的結構表示圖
N溝道增強型MOS管是把一塊低摻雜的P型半導體作為襯底,在襯底上面用擴散的方法構成兩各重摻雜的N+區,然后在P型半導體上生成很薄的一層二氧化硅絕緣層,然后在兩個重摻雜的N+區上端用光刻的辦法刻蝕掉二氧化硅層,顯露N+區,最后在兩個N+區的表面以及它們之間的二氧化硅表面用蒸發或者濺射的辦法噴涂一層金屬膜,這三塊金屬膜構成了MOS管的三個電極,分別稱為源極(S)、柵極(G)和漏極(D)。
MOSFET的特性可以用轉移特性曲線和漏極輸出特性曲線來表征。轉移特性是指在漏源之間的電壓UDS在某一固定值時,柵極電壓UGS與相對應的漏極電流ID之間的關系曲線。圖3是某種場效應管的轉移特性。


圖MOS管的漏極輸出特性場效應晶體管的輸出特性可以劃分為四個區域:可變電阻區、截止區、擊穿區和恒流區。 可變電阻區(UDS)
在這個區域內,UDS增加時,ID線性增加。在導電溝道接近夾斷時,增長變緩。在低UDS分開夾斷電壓較大時,MOS管相當于一個電阻,此電阻隨著UGS的增大而減小。截止區(UGS)
擊穿區在相當大的漏-源電壓UDS區域內,漏極電流近似為一個常數。當UDS加大道一定數值以后,漏極PN結發作擊穿,漏電流疾速增大,曲線上翹,進入擊穿區。飽和區(UDS>UGS-UT)在上述三個區域保衛的區域即為飽和區,也稱為恒流區或放大區。功率MOSFET應用在開關電源和逆變器等功率變換中,就是工作在截止區和擊穿區兩個區。
功率MOSFET結構特性
圖中MOSFET的結構是不合適運用在大功率的場所,緣由是兩個方面的。一方面是結構上小功率MOSFET三個電極在一個平面上,溝道不能做得很短,溝道電阻大。另一方面是導電溝道是由表面感應電荷構成的,溝道電流是表面電流,要加大電流容量,就要加大芯片面積,這樣的結構要做到很大的電流可能性也很小。
為了抑止MOSFET的載流才干太小和導通電阻大的難題,在大功率MOSFET中通常采用兩種技術,一種是將數百萬個小功率MOSFET單胞并聯起來,進步MOSFET的載流才干。另外一種技術就是對MOSFET的結構中止改進,采用一種垂直V型槽結構。圖3是V型槽MOSFET結構剖面圖。


圖3V型槽MOSFET結構剖面圖在該結構中,漏極是從芯片的背面引出,所以ID不是沿芯片水平方向活動,而是自重摻雜N區(源極S)動身,經過P溝道流入輕摻雜N漂移區,最后垂直向下抵達漏極D。電流方向如圖中箭頭所示,由于流通截面積增大,所以能經過大電流。在相同的電流密度下,體積也大大減少。
功率MOSFET電流詳解
通常,在功率MOSFET的數據表中的第一頁,列出了連續漏極電流ID,脈沖漏極電流IDM,雪崩電流IAV的額定值,然后對于許多電子工程師來說,他們對于這些電流值的定義以及在實際的設計過程中,它們如何影響系統以及如何選取這些電流值,常常感到困惑不解,本文將系統的闡述這些問題,并說明了在實際的應用過程中如何考慮這些因素,最后給出了選取它們的原則。
連續漏極電流
連續漏極電流在功率MOSFET的數據表中表示為ID。對于功率MOSFET來說,通常連續漏極電流ID是一個計算值。
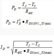
當器件的封裝和芯片的大小一定時,如對于底部有裸露銅皮的封裝DPAK,TO220,D2PAK,DFN5*6等,那么器件的結到裸露銅皮的熱阻RθJC是一個確定值,根據硅片允許的最大工作結溫TJ和裸露銅皮的溫度TC,為常溫25℃,就可以得到器件允許的最大的功耗PD:
當功率MOSFET流過最大的連續漏極電流時,產生最大功耗為PD:


因此,二式聯立,可以得到最大的連續漏極電流ID的計算公式:
其中,RDS(ON)_TJ(max)為在最大工作結溫TJ下,功率MOSFET的導通電阻;通常,硅片允許的最大工作結溫為150℃。
所以,連續漏極電流ID是基于硅片最大允許結溫的計算值,不是一個真正的測量值,而且是基于TC=25℃的計算值。RqJC,TC,這里的C: Case,是裸露銅皮,不是塑料外殼,實際應用中TC遠遠高于25℃,有些應用甚至高達120℃以上,因此ID只具有一定的參考價值。另外,連續的額定電流還要受封裝因素的限制:特別是底部具有裸露銅皮的封裝。
封裝限制通常是指連接線的電流處理能力,導線直徑對于流過的電流也有一定的限制。對于額定的連接線的電流限制,常用方法是基于連接線的熔化溫度。這并不正確的原因在于:當連接線溫度大于220℃時,會導致外殼塑料的熔化分解。在許多情況下,硅電阻高于線的電阻的10倍以上,大部分熱產生于硅的表面,最熱的點在硅片上,而且結溫通常要低于220oC, 因此不會存在連接線熔化問題,連接線的熔化只有在器件損壞的時候才會發生。
有裸露銅皮器件在封裝過程中硅片通過焊料焊在框架上,焊料中的空氣以及硅片與框架焊接的平整度會使局部的連接電阻分布不均勻,通過連接線連接硅片的管腳,在連接線和硅片結合處會產生較高的連接電阻,因此實際的基于封裝限制連續漏極電流會小于基于最大結溫計算的電流。
在數據表中,對于連續漏極電流有二種標示法,不同的公司采用不同的方法:
(1) 數據表的表中,標示基于最大結溫的計算值,通常在數據表底部的的注釋中,說明基于封裝限制的最大的連續漏極電流,如下圖所示,202A和75A。
(2) 直接在數據表的表中,標示基于封裝限制的連續漏極電流,而不再使用注釋,如上面AON6590數據表中,標示的就是封裝限制的電流。
測量器件的熱阻,通常是將器件安裝在一個1平方英寸2oz的銅皮的PCB上,對于底部有裸露銅皮的封裝,等效熱阻模型如圖1所示。如果沒有裸露銅皮的封裝,如SOT23,SO8等,圖1中的RqJC通常要改變為RqJL,RqJL就是結到管腳的熱阻,這個管腳是芯片內部與襯底相連的那個管腳。


等效熱阻模型
RqJA是器件裝在一定尺寸的PCB板測量的值,不是只靠器件本身單獨散熱時的測試值。實際的應用中,通常RqJT+RqTA>>RqJC+RqCA,器件結到環境的熱阻通常近似為:RqJA=RqJC+RqCA。熱阻確定了就可以用公式計算功率MOSFET的電流值連續漏極電流ID,當環境溫度升高時,計算ID的值相應也會降低。
裸露銅皮的封裝,使用RqJC或RqJA來校核功率MOSFET的結溫,通常可以增大散熱器,提高器件通過電流的能力。底部沒有裸露銅皮的封裝,使用RqJL或RqJA來校核功率MOSFET的結溫,其散熱的能力主要受限于晶片到PCB的熱阻。
數據表中ID只考慮導通損耗,在實際的設計過程中,要計算功率MOSFET的最大功耗包括導通損耗、開關損耗、寄生二極管的損耗等,然后再據功耗和熱阻來校核結溫,保證其結溫小于最大的允許值,最好有一定的裕量。
脈沖漏極電流
脈沖漏極電流在功率MOSFET的數據表中標示為IDM,對于這個電流值,要結合放大特性來理解它的定義。
功率MOSFET工作也可以工作在飽和區,即放大區恒流狀態,此時,電流受到溝道內電子數量的限制,改變漏極電壓不能增加流通電流。功率MOSFET從放大區進入穩態工作可變電阻區,此時,VGS驅動電壓對應的的放大恒流狀態的漏極電流遠遠大于系統的最大電流,因此在導通過程中,功率MOSFET要經過Miller平臺區,此時Miller平臺區的的電壓VGS對應著系統的最大電流。
然后Miller電容的電荷全部清除后,VGS的電壓才慢慢增加,進入到可變電阻區,最后,VGS穩定在最大的柵極驅動電壓,Miller平臺區的電壓和系統最大電流的關系必須滿足功率MOSFET的轉移工作特性或輸出特性。


MOSFET輸出特性
對于某一個值的VGS1,在轉移工作特性或輸出特性的電流為ID1,器件不可能流過大于ID1的電流,轉移工作特性或輸出特性限制著功率MOSFET的最大電流值。功率MOSFET工作在線性區時,最大的電流受到VGS的限制,也就是最大的電流IDM和最大的VGS要滿足功率MOSFET的轉移工作特性或輸出特性限制:


其中,gfsFS為跨導。


轉移工作特性
器件工作在線性區,功耗為電流和壓降乘積,因此產生較大功耗,此電流該參數反映了器件可以處理的脈沖電流的能力,脈沖電流要遠高于連續的直流電流。IDM工作在連續的狀態下,長時間工作在大功率之下,功率MOSFET的結溫可能會超出范圍,將導致器件失效。在脈沖的狀態下,瞬態的熱阻小于穩態熱阻,可以滿足電流范圍更大。
這也表明,數據表中功率MOSFET的脈沖漏極電流額定值IDM對應著器件允許的最大的VGS,在此條件下器件工作在飽和區,即放大區恒流狀態時,器件能夠通過的最大漏極電流,同樣,最大VGS的和IDM也要滿足功率MOSFET的轉移工作特性或輸出特性。
溫度升高依賴于脈沖寬度、脈沖間的時間間隔、散熱狀況、以及脈沖電流波形和幅度。單純滿足脈沖電流不超出IDM上限并不能保證結溫不超過最大允許值,要參考熱性能和瞬時熱阻,來估計脈沖電流下結溫,也就是最大的脈沖漏極電流IDM還要滿足最大結溫的限制,因此IDM要滿足二個條件:
(1) 在一定的脈沖寬度下,基于功率MOSFET的轉移工作特性或輸出特性的真正的單脈沖最大電流測量值;數據表中,VGS=10V,260us電流脈沖時,真正的單脈沖的電流測量值。
(2)在一定的脈沖寬度下,基于瞬態的熱阻和最大結溫的計算值。數據表中,脈沖寬度取260us。
雪崩電流
雪崩電流在功率MOSFET的數據表中表示為IAV,雪崩能量代表功率MOSFET抗過壓沖擊的能力。在測試過程中,選取一定的電感值,然后將電流增大,也就是功率MOSFET開通的時間增加,然后關斷,直到功率MOSFET損壞,對應的最大電流值就是最大的雪崩電流。
在數據表中,標稱的IAV通常要將前面的測試值做70%或80%降額處理,因此它是一個可以保證的參數。一些功率MOSFET供應商會對這個參數在生產線上做100%全部檢測,因為有降額,因此不會損壞器件。
注意:測量雪崩能量時,功率MOSFET工作在UIS非鉗位開關狀態下,因此功率MOSFET不是工作在放大區,而是工作在可變電阻區和截止區。因此最大的雪崩電流IAV通常小于最大的連續的漏極電流值ID。
采用的電感值越大,雪崩電流值越小,但雪崩能量越大,生產線上需要測試時間越長,生產率越低。電感值太小,雪崩能量越小。目前低壓的功率MOSFET通常取0.1mH,此時,雪崩電流相對于最大的連續的漏極電流值ID有明顯的改變,而且測試時間比較合適范圍。
烜芯微專業制造二三極管,MOS管,20年,工廠直銷省20%,1500家電路電器生產企業選用,專業的工程師幫您穩定好每一批產品,如果您有遇到什么需要幫助解決的,可以點擊右邊的工程師,或者點擊銷售經理給您精準的報價以及產品介紹
烜芯微專業制造二三極管,MOS管,20年,工廠直銷省20%,1500家電路電器生產企業選用,專業的工程師幫您穩定好每一批產品,如果您有遇到什么需要幫助解決的,可以點擊右邊的工程師,或者點擊銷售經理給您精準的報價以及產品介紹